GIST, 한 달 뒤 장기예보까지 가능한 AI 기상예보 기술 개발
||2026.01.07
||2026.01.07

광주과학기술원(GIST·총장 임기철)은 윤진호 환경·에너지공학과 교수가 이끄는 국제 공동연구팀이 인공지능(AI) 기술을 활용해 미국 서부의 기상 상태를 최대 한 달 뒤인 32일까지 기존보다 훨씬 더 세밀하고 정확하게 예측할 수 있는 새로운 방법을 개발했다고 7일 밝혔다.
복잡한 산악·해안·내륙 지형이 얽혀 예측 난도가 높은 미국 서부에서 성능이 검증됐다는 점에서 기후위기 시대 고해상도 예보 기술의 새로운 가능성을 열었다는 평가다.
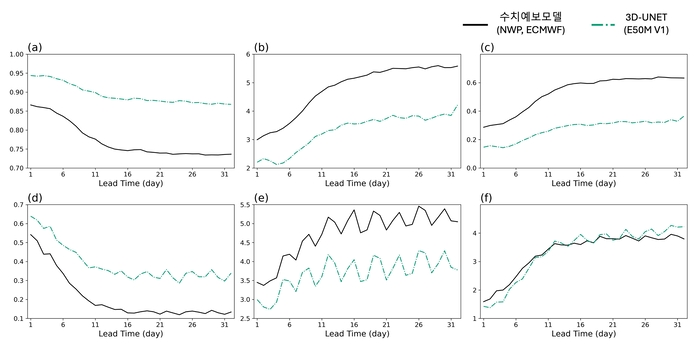
연구팀은 기존 기상청·유럽중기예보센터(ECMWF) 등에서 활용하는 수치예보(NWP) 모델이 약 120㎞(1.5도) 간격으로 넓게 나눠진 예보 구역 단위로 정보를 제공해 지역 특성을 충분히 반영하지 못하는 문제를 해결하는 데 초점을 맞췄다.
이를 해결하기 위해 날씨가 시간에 따라 어떻게 이어지고 변화하는지를 함께 학습하도록 설계한 '3차원(3D) U-Net 기반 AI 예보후처리 모델'을 개발했다. 이 모델은 오늘부터 예측하려는 날짜까지의 시간 구간(예보 선행시간)을 하나의 연속된 흐름으로 분석해 비교적 정확도가 높은 초단기·중기(1~10일) 예보 정보를 바탕으로 그 이후 연장중기(10~32일) 예보까지 정확도를 자연스럽게 확장하도록 설계했다. 즉 기존 수치예보가 제공하는 정보를 단순히 보정하는 수준을 넘어 시간·공간·지형 특성을 동시에 반영해 더 현실적인 결과를 내도록 만든 것이다.

연구팀이 개발한 AI 모델은 ECMWF의 예보 자료를 기반으로 약 23㎞(0.25도) 수준의 고해상도 정보를 생성하도록 학습됐으며 동시에 수치예보에 반복적으로 나타나는 구조적 오차까지 보정하는 기능까지 갖췄다.
특히 약 120㎞ 간격으로 넓게 구분돼 있던 예보 구역을 23㎞ 수준의 훨씬 촘촘한 구역으로 다시 세분화했다. 더 작은 지역 단위까지 예측할 수 있도록 하고 산악·해안·내륙 등 지형에 따른 기상 변화를 더욱 정밀하게 반영할 수 있게 한다. 단순히 해상도를 높이는 데 그치지 않고 실제 기상 패턴과의 차이를 줄이도록 예보 오차를 정교하게 조정하는 고도화된 방식이다.
성능 평가 결과, 새 모델은 실제 기상 변화와의 일치도가 눈에 띄게 높아졌다. 산악 지형에서 나타나는 미세한 온도 변화나 해안가에 형성되는 강수 집중 구역, 내륙 농경지에서 자주 발생하는 국지적 변화처럼 기존 예보 모델이 포착하기 어려웠던 패턴까지 정밀하게 재현하는 것으로 나타났다.
윤진호 교수는 “기후변화로 예측의 중요성이 커지는 가운데 기존 모델이 만들어 낸 결과를 AI로 한 번 더 보정해 정확도를 높이는 '후처리 기술'은 수치예보의 한계를 보완하는 유력한 해법이 될 것”이라며 “특히 지형과 지역성이 복잡한 미국 서부 지역 사례에서 보듯 AI는 고해상도 지역 예보를 구현하는 데 결정적인 역할을 할 수 있다”고 말했다.
김영준 기자 kyj85@etnews.com
고객님만을 위한 맞춤 차량
